For decades, very high-energy neutrinos were thought to be produced by interactions between ultra-high-energy cosmic rays and photons from the cosmic microwave background. These so-called cosmogenic neutrinos should produce a diffuse, ultra-high-energy neutrino background in the universe. However, cosmogenic neutrinos have not yet been detected, with only upper limits reported by grand experiments such as IceCube and Pierre Auger Observatory. Recently, the neutrino telescope KM3NeT, which is only partly constructed so far, detected a neutrino event, named KM3-230213A, with an energy estimated to be 220 PeV. The detection of such a high-energy neutrino event is in tension with the non-detection of such high-energy neutrino events by IceCube, which is much larger and has operated over a longer period of time. The event may have instead originated from an astrophysical transient rather than the diffuse neutrino background.
In fact, the diffuse cosmogenic neutrinos may be contributed by individual sources. In a recent work published in The Astrophysical Journal, instead of considering the all-sky diffuse neutrino background as usual, a research team consisting of Qinyuan Zhang and Zhuo Li from Department of Astronomy, School of Physics, Peking University and Tianqi Huang from Institute of High Energy Physics, Chinese Academy of Science investigated the cosmogenic neutrino emission from individual sources, namely the cosmogenic neutrino point sources. They assume that a violent transient, such as a gamma-ray burst, which has long been considered as the candidate sources of ultra-high-energy cosmic rays, releases a beam of cosmic rays (see Fig. 1). These charged particles will be deflected by the background magnetic field during propagation and lose energy significantly by interactions with background radiation before travelling a long distance. The locally produced neutrinos appear as a “point source” to distant observers. The research team investigates theoretically the properties of such cosmogenic neutrino point sources, for example, the neutrino spectrum, apparent angular profile and their time evolution. They carefully considered the travel time of neutrinos and their arrival at the Earth with equal observer time.

Fig. 1 Schematics of propagation of ultra-high energy cosmic-cray protons and generation of cosmogenic neutrinos.
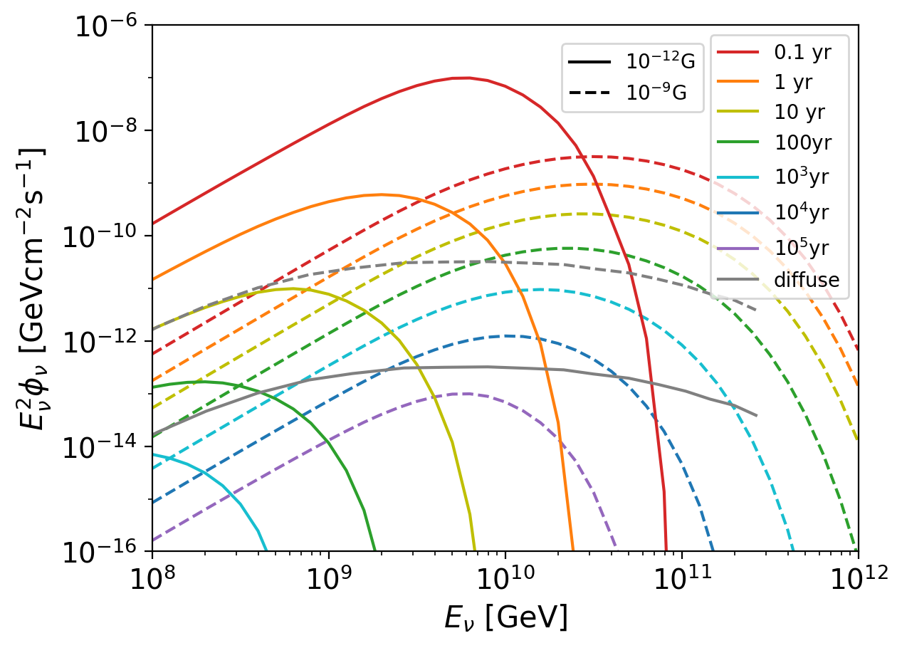
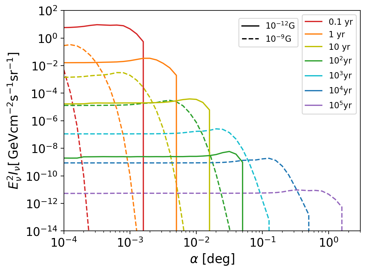
The research team found that the intergalactic magnetic field, which is largely unknown, plays important effect on the neutrino point source features. A weaker magnetic field results in higher neutrino fluxes and faster temporal evolution (Fig. 2), due to the contraction by the faster propagation of cosmic rays. In a wide range of magnetic field strength, the angular spread of neutrino sources remains confined to sub-degree scales (Fig. 3), allowing the neutrino flux to temporarily outshine the diffuse background. Within a sub-degree, the neutrino flux from a nearby point source could surpass the diffuse flux in the early stages after the transient.

Fig. 2: Time evolution of all-flavor neutrino spectrum for cosmogenic neutrino point source induced by a gamma-ray burst with distance of 100 Mpc. Two values of the intergalactic magnetic field strength are considered. The diffuse cosmogenic neutrino flux from a random sky region within 0.1 and 1 degrees are shown for comparison with point sources.

Fig. 3 Time evolution of the angular profile for EeV neutrinos in the case of a gamma-ray burst that occurs at a distance of 100 Mpc.
The research team compared two cases for the origin of the KM3-230213A event: diffuse cosmogenic neutrino background versus a nearby single point source of cosmogenic neutrinos induced by an astrophysical transient, like gamma-ray bursts. For the former case, IceCube would be expected to detect 68 times as many neutrino events as the partially-built KM3NeT. This conflicts strongly with the actual non-detections by IceCube. However, for the latter case, if the cosmic rays propagate in a weak magnetic field of the local environment, the contrast between IceCube and KM3NeT becomes smaller by a factor of 5. Although IceCube was still expected to detect more events, this substantially reduces the tension between KM3NeT and IceCube. The research team favors strongly the nearby transient point source origin of KM3-230213A over the diffuse background origin.
The research team notes that the cosmogenic neutrino point sources may still be too weak for current neutrino telescopes to detect as a point source with high confidence level. Much larger and then more sensitive next generation neutrino telescopes are required. The future observations of individual cosmogenic neutrino point sources in ultra-high-energy range will open a new window for identifying the elusive origins of ultra-high-energy cosmic rays.
Paper’s link:
https://doi.org/10.3847/1538-4357/adf21c