Fast radio bursts (FRBs) are highly dispersed millisecond-duration radio bursts. They are extremely powerful, to the amount of energy that would be produced by modern human civilization over tens of billions of years. Since the discovery of the first FRB in 2007, several hundred of them had been found, however, the physical origin of FRBs is still unsettled. Most of these FRBs come from outside of the Milky Way. Recent observations of a FRB originating from a Galactic magnetar (a type of neutron star beloved to have an extremely strong magnetic field) suggest that some FRBs come from magnetars, but the origin of the cosmological FRBs, especially those that actively repeat, remains unclear. To date, the constraints to the physical parameters of the environments close to FRBs are still weak.
Using the Five-hundred-meter Aperture Spherical radio Telescope (FAST), the FAST FRB Key Project Team, which includes Kejia Lee (Peking University, NAOC), Weiwei Zhu (NAOC), Subo Dong (Peking University), Bing Zhang (University of Nevada), Heng Xu (Peking Univsersity, NAOC), Ping Chen (Peking University), Jiarui Niu (NAOC), detected nearly 2000 radio bursts from FRB 20201124A. Their research strongly indicates that FRB 2021124A is embedded in a complicated, dynamically evolving magnetized environment. Their results help us understand how these radio bursts were generated, and how the radio burst signal propagated in the local magnetized environment.
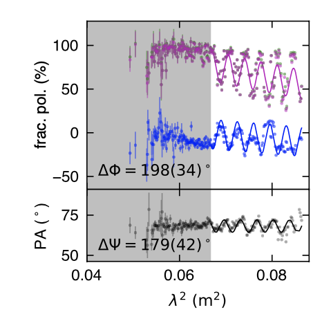
In a Nature paper published on 21 September 2022, the FAST FRB team reported using FAST to monitor FRB 20201124A for about 2 months. They analyzed 1,863 bursts of FRB 20201124A detected by FAST in totally 84-hour observations obtained across 54 days, which is the largest sample of bursts recorded with polarization information so far. The high event rate makes FRB 20201124A among the most active known FRBs. They discovered several phenomena never detected before, the irregular short-time variation of the Faraday rotation measure, which probes the line-of-sight magnetic field strength, of individual bursts during the first 36 days, followed by a constant value; they witnessed the quenching of the burst activity on a timescale shorter than three days; they detected prominent circular polarization in these bursts (up to 75%); they detected ooscillations in fractional linear and circular polarizations as well as polarization angle as a function of wavelength.

Fig 1. Faraday rotation measure as a function of time. The grey shaded region on the right side of the plot shows the epoch when no burst was detected, indicating that the radio activity is quenched in a short timescale.

Fig 2. Fractional polarizations, and linear polarization angle as a function of the square of wavelength, where green, magenta, blue and grey dots and error bars are respectively for total, linear, circular polarizations and linear polarization angle.
All these features provide strong evidence for a complicated, dynamically evolving magnetized environment within about one astronomical unit of this FRB source. Based on the oscillation structures in polarizations, they set a constraint to the magnetic field to this magnetized local environment, which reaches gauss level.
Observations with the Keck 10m optical telescope reveal that FRB 20201124A resides in a low-density interim region of a Milky Way-like galaxy.This environment is inconsistent with a young magnetar engine formed during an extreme explosion of a massive star that resulted in a long gamma-ray burst or superluminous supernova.

Fig 3. Optical spectra and high spatial resolution adaptive-optics image of the host galaxy.
“This is like taking a movie of the surroundings of an FRB source,” said Bing Zhang, “and our film reveals a complex, dynamically evolving, magnetized environment that was never imagined before”. Such an environment is not straightforwardly expected for an isolated magnetar. “Something else might be in the vicinity of the FRB engine, possibly a binary companion,” added Zhang.
“This is the largest sample of FRB data with polarization information from one single source”, said Weiwei Zhu.
“This location is inconsistent with a young magnetar central engine formed during an extreme explosion such as a long gamma-ray burst or a superluminous supernova, widely speculated progenitors of active FRB engines”, said Subo Dong.
Published Paper: https://www.nature.com/articles/s41586-022-05071-8