Neutron star mergers, including mergers of neutron star binaries and of a neutron star and black hole, are usually thought to be the progenitors of gravitational-wave bursts, gamma-ray bursts, and kilonova events. On 17 August, 2017, a gravitational wave signal from a binary neutron star merger, GW 170817, was first identified by the LIGO-Virgo Collaboration, while its associated short-duration gamma-ray burst (duration shorter than about 2 seconds), broad-band afterglow, and kilonova were revealed by subsequent data analyses. The joint observations of the gravitational wave signal and electromagnetic counterparts of this binary neutron star merger provided the smoking-gun evidence for the long-hypothesized origin of short-duration gamma-ray bursts and kilonovae.
However, the association between gravitational wave events, gamma-ray bursts, and kilonova from black hole-neutron star mergers has never been confirmed in observations. In early 2020, two gravitational wave events from binary neutron star-black hole mergers (GW 200105 and GW 200115) were detected during the third observing run of the LIGO-Virgo Collaboration. However, astronomers did not discover any gamma-ray bursts or kilonovae signatures that were expected to appear after black hole-neutron star mergers. In theory, the tidal disruption of black hole-neutron star mergers usually occurs only when the black hole component has a high spin, which allows the production of bright gamma-ray bursts and kilonova emissions. Different from binary neutron star mergers, the massive newborn black hole formed after neutron star-black hole mergers can drag back a fraction of debris resulting in powerful fallback accretion emissions. Based on previous simulations, these disrupted black hole-neutron star mergers should account for just <20% of the total black hole-neutron star population in the Universe. Gravitational wave observations confirmed that the black holes that formed from these two black hole-neutron star mergers had near-zero or negative spins, indicating that they were indeed unlikely to generate detectable electromagnetic counterparts.
Recently, Peking University PhD student Jinping Zhu, advised by Prof. Zhuo Li, showed that a peculiar class of long-lasting gamma-ray bursts, like GRB 211211, which lack bright supernova counterparts but are associated with candidate kilonova, can indeed originate from black hole-neutron star mergers. Most long-duration gamma-ray bursts (duration longer than about 2 seconds) are typically thought to be derived from core collapses of massive stars, which produce also bright supernovae. However, in recent years, three special long-duration gamma-ray bursts, GRBs 060614, 211211A, and 211227A, were argued to originate from neutron star mergers, but the physical origin is still under debate. These gamma ray bursts occurred outside the observing schedule of gravitational wave detectors, so their true origin cannot be directly confirmed. These three long-duration gamma-ray bursts did not show bright supernovae, but kilonova candidates were identified in the late-time optical afterglows from two of the three gamma-ray bursts, i.e., GRBs 060614 and 211211A.

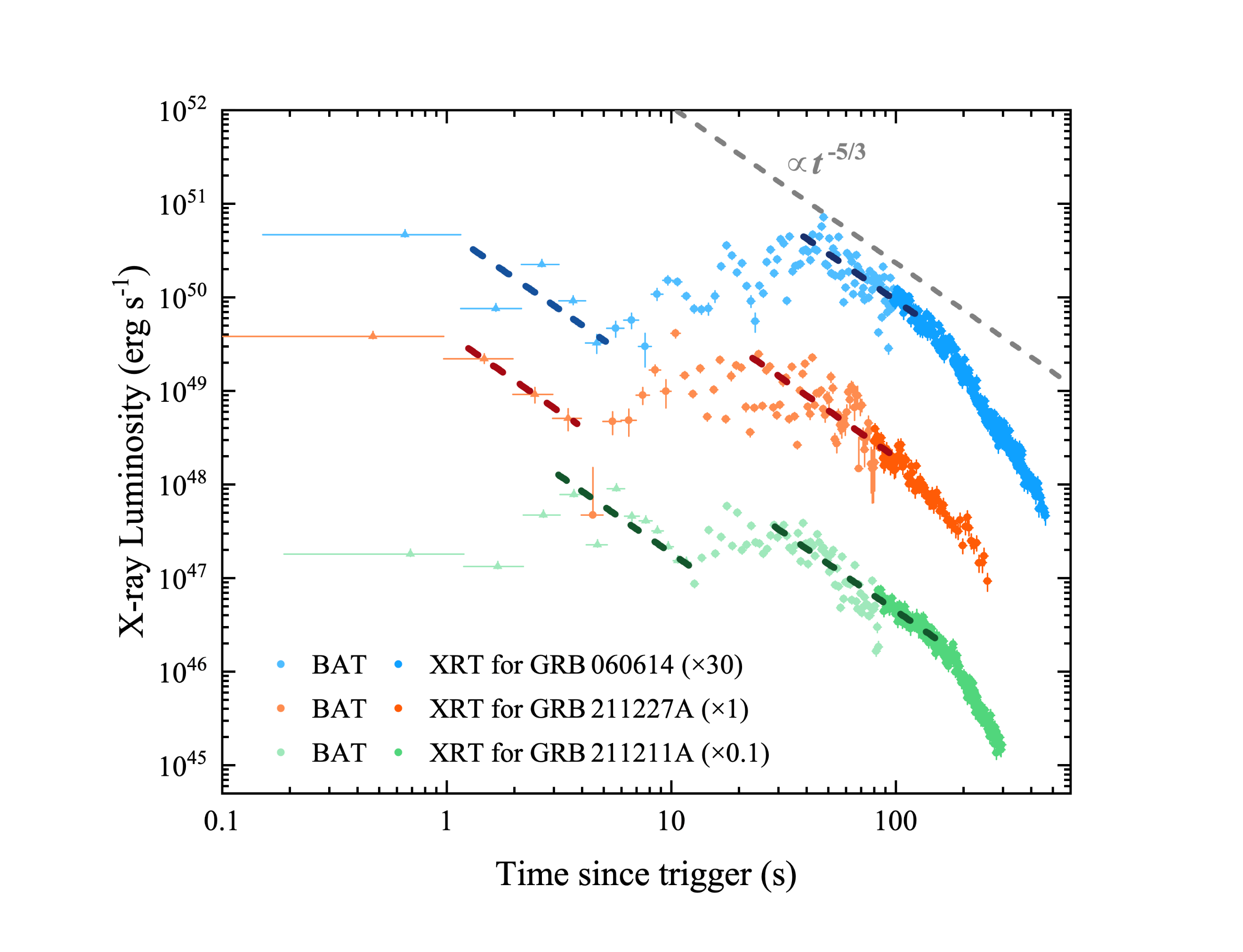
Figure 1: X-ray emissions of three merger-origin long-duration GRBs. Dashed lines represent the processes of fall-back accretion.
By systematically studying the properties of these three gamma-ray bursts, Zhu and coauthors found evidence that they occurred because of the merger of a black hole-neutron star binary. First, the early gamma-ray and X-ray extended emissions of all these bursts contained clear fallback accretion signals, consistent with the fallback accretion emissions which are predicted to occur after black hole-neutron star mergers (see Figure 1), resulting in the extension of the burst activity duration. Secondly, the ejecta mass inferred from kilonova candidates of these long-duration gamma-ray bursts could be even as large as 0.1 solar mass (see Figure 2 for the fitting results of the GRB211211A-associated kilonova candidate). In numerical simulations, only extremely high-spinning black hole-neutron star mergers can finally eject materials with such a large mass. Moreover, based on the detection rate of the three events, the estimated event rate densities of long-duration gamma-ray bursts of this kind agree with the predicted rate densities of cosmological fast-spinning black hole-neutron star mergers. Thus, black hole-neutron star mergers can well explain the origins of GRB211211A-like long-duration gamma-ray bursts.

Figure 2: The observations and fitting results of afterglow and kilonova emissions from GRB211211A.
With the improvement in gravitational wave detection during the fourth and fifth observing run, more black hole-neutron star mergers will be discovered in the future. The authors further predict that the joint detection rates of gravitational wave, gamma-ray burst, and kilonova emissions from black hole-neutron star mergers are 0.1 and 1 per year, respectively, in the fourth and fifth observing runs of the LIGO-Virgo-KAGRA Collaboration. The future multi-messenger observations are encouraging.
These research results were published in the article, “Long-duration Gamma-Ray Burst and Associated Kilonova Emission from Fast-spinning Black Hole–Neutron Star Mergers” in The Astrophysical Journal Letters, vol. 936, L10, 2022 August 29. The anonymous referee placed the work in context, stating, “The work is very thorough and has the potential to make a significant contribution in both the interpretation of these special gamma-ray burst events, as well as the study of NS-BH mergers.” Authors in this work include PhD student Jinping Zhu from PKU, PhD student Xiangyu Ivy Xiang from Nanjing University, Dr. Hui Sun from National Astronomical Observatory of China (former graduate student from PKU), Prof. Yuanpei Yang from Yunnan University (former postdoc from PKU), Prof. Zhuo Li from PKU, M.S. student Ruichong Hu from Guangxi University, Dr. Ying Qin from Anhui Normal University, and PhD student Shichao Wu from Albert Einstein Institute, Germany.
Published paper:
Zhu, J-P., et al. 2022, ApJL, 936, L10
References:
Zhu, J-P., et al. 2021, ApJ, 921, 156
Zhu, J-P., et al. 2020, ApJ, 897, 20
Hu, R-C., et al. 2022, ApJ, 928, 163